cat no | io1081 | io1082
Human iPSC-derived GABAergic neurons Alzheimer's disease model
Increased ratio of A𝛽42:40 seen in ioGABAergic Neurons APP V717I (London), as observed in Alzheimer’s disease
ioGABAergic Neurons APP V717I/V717I disease model (HOM) cells show a trend of increased production of A𝛽38 peptides and A𝛽42 (involved in the amyloidogenic pathway), with minimal difference seen for A𝛽40 (A). This results in a significantly increased ratio of A𝛽42:40 and no change in the A𝛽42:38 ratio (B).
ioGABAergic neurons (WT, CL54, CL65, CL59, CL70) were seeded at 150,000 cells/cm2 in 24 well plates and cultured for 30 days according to the user manual.
Supernatant was collected at days 10, 20, and 30 to quantify levels of A𝛽38, A𝛽40, A𝛽42 peptides using the V-PLEX Aβ Peptide Panel ELISA kit (MSD K15200E-1).
Concentrations of A𝛽38, A𝛽40, A𝛽42 were normalised to the calculated total number of cells per well.
Data were obtained from two independent experiments and are shown as mean ± SEM. Data were analysed statistically (at days 20 and 30) using one-way ANOVA with Tukey’s post-hoc analysis. * p<0.05 ** p<0.01 ***p<0.001 **** p<0.0001
Disease model cells express key GABAergic neuron-specific markers comparably to the isogenic control
Immunofluorescent staining on day 12 post-revival demonstrates similar homogenous expression of the pan-neuronal marker, MAP2 and GABAergic neuron-specific marker, GABA in both disease model clones compared to the wild-type (WT) isogenic control. 100X magnification.
Disease model cells form structural neuronal networks by day 12
Both disease model clones mature rapidly and form structural neuronal networks over 12 days, with neurons identified by day 3 and visible neuronal networks being observed by day 10 post-thaw, similarly to the WT isogenic control. Day 1 to 12 post thawing; 100X magnification.
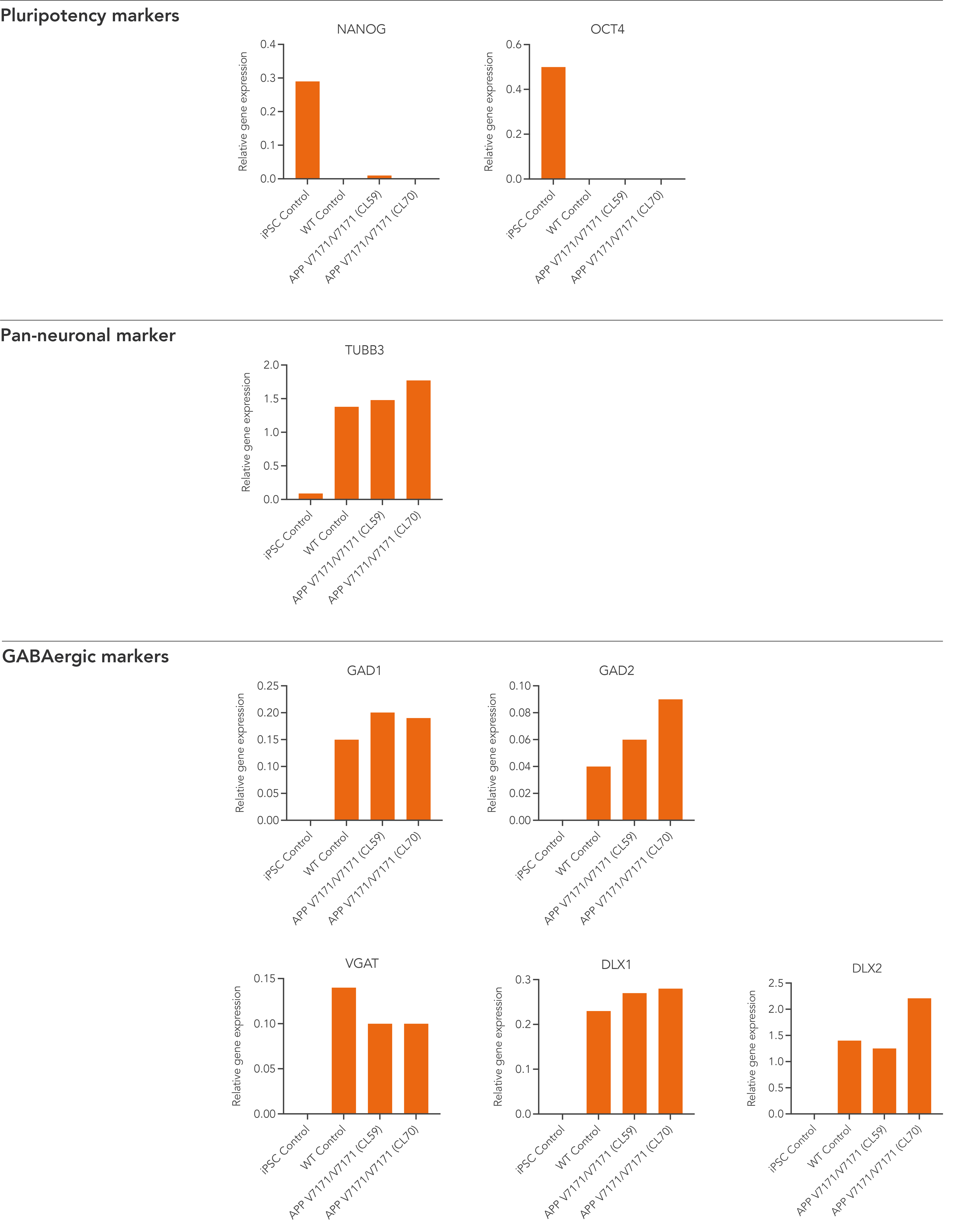
Disease model cells demonstrate gene expression of neuronal and GABAergic-specific markers following deterministic programming
Gene expression analysis demonstrates that both disease model clones and the WT isogenic control lack the expression of pluripotency markers (NANOG and OCT4) at day 12 post-thaw, whilst robustly expressing pan-neuronal (TUBB3) and GABAergic-specific markers, GAD1, GAD2, VGAT, DLX1, and DLX2. Gene expression levels were assessed by RT-qPCR (data expressed relative to the parental hiPSC control (iPSC Control), normalised to GAPDH). Data represents day 12 post-revival samples.
A maximum number of 20 vials applies. If you would like to order more than 20 vials, please contact us at orders@bit.bio.
Confidently investigate your phenotype of interest across multiple clones with our disease model clone panel. Detailed characterisation data (below) and bulk RNA sequencing data (upon request) help you select specific clones if required.
ioGABAergic Neurons APP V717I/V717I are opti-ox deterministically programmed GABAergic neurons, also known as inhibitory interneurons, carrying a genetically engineered homozygous V7171 (London) mutation in the APP gene encoding the amyloid precursor protein. This mutation is linked to familial early-onset Alzheimer's disease (AD).
These cells offer a functional, rapidly maturing, and disease relevant system in inhibitory neurons to study the role of the APP V717I (London) mutation in early-onset AD, alongside a genetically matched wild-type control.
Two clones are available, all genetically matched to the wild type control (ioGABAergic Neurons). The disease model cells and the wild-type control offer a physiologically relevant model to investigate the impact of the APP V717I mutation on cellular and molecular mechanisms and function in early-onset AD.
Make True Comparisons
Pair the ioDisease Model Cells with the genetically matched wild-type ioGABAergic Neurons to directly investigate the effect of the mutant APP protein on early-onset AD.
Highly pure
>99% of cells express key GABAergic markers within 4 days post-thaw, allowing consistent and reproducible results from every vial.
Co-culture compatible
Suitable for co-culture and tri-culture studies with ioGlutamatergic Neurons and astrocytes.

ioGABAergic Neurons APP V717I/V717I are delivered in a cryopreserved format and are programmed to rapidly mature upon revival in the recommended media. The protocol for the generation of these cells is a two-phase process: Induction, which is carried out at bit.bio, Stabilisation for 3 days (Phase 1), and Maintenance (Phase 2) during which the ioGABAergic Neurons mature. Phases 1 and 2 after revival of cells are carried out at the customer site.
Starting material
Human iPSC line
Karyotype
Normal (46, XY)
Seeding compatibility
6, 12, 24, 96 and 384 well plates
Shipping info
Dry ice
Donor
Caucasian adult male, age 55-60 years old (skin fibroblast),
Genotype APOE 3/4
Vial size
Small: >3 x 10⁶ viable cells, Evaluation pack*: 3 small vials of >3 x 10⁶ viable cells
Quality control
Sterility, protein expression (ICC) and gene expression (RT-qPCR)
Differentiation method
opti-ox deterministic cell programming
Recommended seeding density
150,000 cells/cm²
User storage
LN2 or -150°C
Format
Cryopreserved cells
Product use
ioCells are for research use only
Genetic modification
Homozygous V717I mutation in the APP gene
Applications
Alzheimer's disease modelling
Drug discovery and development
MEA analysis
Co-culture studies
ASO screening
Available clones
io1081S: ioGABAergic Neurons APP V717I/V717I (CL59)
io1082S: ioGABAergic Neurons APP V717I/V717I (CL70)
* Evaluation packs are intended for first-time users, or for existing users testing a new cell type or derivative. A user can request multiple evaluation packs as long as each one is for a different product, with only one pack allowed per product.
Increased ratio of A𝛽42:40 seen in ioGABAergic Neurons APP V717I (London), as observed in Alzheimer’s disease
ioGABAergic Neurons APP V717I/V717I disease model (HOM) cells show a trend of increased production of A𝛽38 peptides and A𝛽42 (involved in the amyloidogenic pathway), with minimal difference seen for A𝛽40 (A). This results in a significantly increased ratio of A𝛽42:40 and no change in the A𝛽42:38 ratio (B).
ioGABAergic neurons (WT, CL54, CL65, CL59, CL70) were seeded at 150,000 cells/cm2 in 24 well plates and cultured for 30 days according to the user manual.
Supernatant was collected at days 10, 20, and 30 to quantify levels of A𝛽38, A𝛽40, A𝛽42 peptides using the V-PLEX Aβ Peptide Panel ELISA kit (MSD K15200E-1).
Concentrations of A𝛽38, A𝛽40, A𝛽42 were normalised to the calculated total number of cells per well.
Data were obtained from two independent experiments and are shown as mean ± SEM. Data were analysed statistically (at days 20 and 30) using one-way ANOVA with Tukey’s post-hoc analysis. * p<0.05 ** p<0.01 ***p<0.001 **** p<0.0001
Disease model cells express key GABAergic neuron-specific markers comparably to the isogenic control
Immunofluorescent staining on day 12 post-revival demonstrates similar homogenous expression of the pan-neuronal marker, MAP2 and GABAergic neuron-specific marker, GABA in both disease model clones compared to the wild-type (WT) isogenic control. 100X magnification.
Disease model cells form structural neuronal networks by day 12
Both disease model clones mature rapidly and form structural neuronal networks over 12 days, with neurons identified by day 3 and visible neuronal networks being observed by day 10 post-thaw, similarly to the WT isogenic control. Day 1 to 12 post thawing; 100X magnification.
Disease model cells demonstrate gene expression of neuronal and GABAergic-specific markers following deterministic programming
Gene expression analysis demonstrates that both disease model clones and the WT isogenic control lack the expression of pluripotency markers (NANOG and OCT4) at day 12 post-thaw, whilst robustly expressing pan-neuronal (TUBB3) and GABAergic-specific markers, GAD1, GAD2, VGAT, DLX1, and DLX2. Gene expression levels were assessed by RT-qPCR (data expressed relative to the parental hiPSC control (iPSC Control), normalised to GAPDH). Data represents day 12 post-revival samples.
Increased ratio of A𝛽42:40 seen in ioGABAergic Neurons APP V717I (London), as observed in Alzheimer’s disease
ioGABAergic Neurons APP V717I/V717I disease model (HOM) cells show a trend of increased production of A𝛽38 peptides and A𝛽42 (involved in the amyloidogenic pathway), with minimal difference seen for A𝛽40 (A). This results in a significantly increased ratio of A𝛽42:40 and no change in the A𝛽42:38 ratio (B).
ioGABAergic neurons (WT, CL54, CL65, CL59, CL70) were seeded at 150,000 cells/cm2 in 24 well plates and cultured for 30 days according to the user manual.
Supernatant was collected at days 10, 20, and 30 to quantify levels of A𝛽38, A𝛽40, A𝛽42 peptides using the V-PLEX Aβ Peptide Panel ELISA kit (MSD K15200E-1).
Concentrations of A𝛽38, A𝛽40, A𝛽42 were normalised to the calculated total number of cells per well.
Data were obtained from two independent experiments and are shown as mean ± SEM. Data were analysed statistically (at days 20 and 30) using one-way ANOVA with Tukey’s post-hoc analysis. * p<0.05 ** p<0.01 ***p<0.001 **** p<0.0001
In this video, our scientist will take you through the step-by-step process of how to thaw, seed and culture ioGABAergic Neurons.
V6
bit.bio
2023
Dr Deepak Srivastava | King’s College London
Dr Mariangela Iovino | Group Leader | Charles River
Dr Tony Oosterveen | Senior Scientist | bit.bio
Mark Kotter | CEO and founder | bit.bio
Marius Wernig | Professor Departments of Pathology and Chemical and Systems Biology | Stanford University
Prof Roger Pedersen | Adjunct Professor and Senior Research Scientist at Stanford University
Dr Thomas Moreau | Director of Cell Biology Research | bit.bio
Dr Brian Gill, MD | Assistant Professor of Neurological Surgery| Columbia University Irving Medical Center
Dr Tony Oosterveen | Principal Scientist and CNS Lead, Neurobiology | bit.bio
In this webinar, Dr Rodney Bowling, CSO of Everlum Bio, offers an expert discussion on their use of ioGABAergic neurons for the screening of antisense oligonucleotide (ASO) based RNA therapeutics to accelerate the discovery of novel personalised therapies for rare autism spectrum disorders (ASD).
Build neuronal co-cultures with matching Alzheimer's disease mutations to more accurately represent the complexity of the human brain and model disease. Glutamatergic and GABAergic neurons are crucial to help maintain stable ratios of excitatory and inhibitory populations throughout your MEA experiments.
ioGABAergic Neurons are highly pure, defined and consistent, a great companion for your CNS model.
Combine them with other neuronal and glial ioCells to generate complex multi-cell cultures.
ioGlutamatergic Neurons
ioMicroglia
ioAstrocytes
ioOligodendrocyte-like cells
Interested in simple gene knockouts and CRISPR screens?
Register your interest for CRISPRko-Ready ioGABAergic Neurons.
Contact our team
Start the conversation today
Consistent. Defined. Scalable.