cat no | io1103 Early Access
Cryopreserved human iPSC-derived cells powered by opti-ox, that are ready for experiments in days
Microglia constitutively expressing modified dCas9 optimised for gene repressions and CRISPRi screens
Perform key phagocytic and cytokine secretion functions, and are co-culture compatible
Male human iPSC donor-derived microglia expressing modified dCas9 for gene repressions and CRISPRi screens
Flow cytometry analysis demonstrates gene repression of B2M upon lentiviral gRNA delivery
Flow cytometry analysis confirmed robust B2M gene repression in CRISPRi-Ready ioMicroglia following lentiviral delivery of a B2M-targeting gRNA on day 10 post-thaw using VPx-VLP for enhanced lentiviral gRNA delivery. Gene repression was assessed 5 days later.
(A) 32% of cells were GFP+ indicating successful delivery of the B2M-targeting gRNA, with 72% of these GFP+ cells showing robust repression.
(B) The dCas9 transcriptional repressor induced a 5.7-fold increase in B2M protein expression (blue) relative to non-targeting control (grey), as measured by geometric mean fluorescence intensity (GMFI) in the GFP+ population.
Immunocytochemistry analysis demonstrates gene repression of IBA1 upon lentiviral gRNA delivery in a 96-well plate
IBA1 targeting gRNAs were introduced into CRISPRi-Ready ioMicroglia at day 10 post-thaw via lentiviral transduction in a 96-well plate format, using VPx-VLP for enhanced lentiviral gRNA delivery. After 5 days, transduction and IBA1 repression efficiencies were quantified by immunocytochemistry. Comparable results were observed in 24-well plates.
(A) Representative images showing repression of IBA1 in a majority of cells.
(B) Quantification of IBA1 positive cells reveals >75% inhibition efficiency.
CRISPRi-Ready ioMicroglia show ramified morphology by day 4
CRISPRi-Ready ioMicroglia mature rapidly and key ramified morphology can be identified by day 4 and continues through to day 10, similar to ioMicroglia Male (io1021). Day 1 to 10 post-thawing; 100x magnification.
CRISPRi-Ready ioMicroglia homogeneously express IBA1
Immunofluorescent staining on day 10 post-revival demonstrates homogenous expression of key microglia marker IBA1 and ramified morphology in CRISPRi-Ready ioMicroglia, similar to ioMicroglia Male (io1021). 100x magnification.
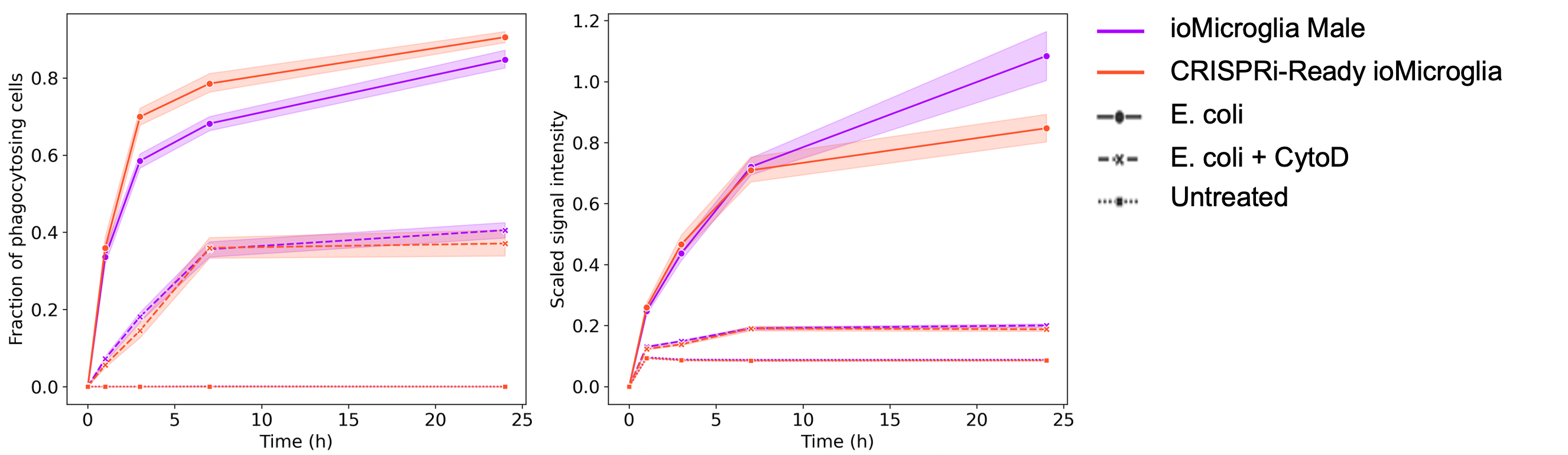
Phagocytosis of E. coli particles by CRISPRi-Ready ioMicroglia
Phagocytosis assay using pHrodo E. coli BioParticles at day 10 post-thaw demonstrates efficient uptake of bioparticles by CRISPRi-Ready ioMicroglia, in a similar manner to ioMicroglia Male (io1021) over 24 h. The graphs display the proportion of cells phagocytosing (left), and the fluorescence intensity per cell displaying degree of phagocytosis (right). The addition of Cytochalasin D (CytoD), an inhibitor of actin polymerisation, significantly decreased E.coli particle uptake as expected.
CRISPRi-Ready ioMicroglia secrete pro-inflammatory cytokines upon activation
CRISPRi-Ready ioMicroglia were stimulated at day 10 post-thaw with LPS 100 ng/mL and IFNɣ 20 ng/mL for 24 hours. Cell culture supernatants were collected and cytokine secretion levels were quantified by ELISA. Upon activation, these cells secreted TNF-α and IL-6 at comparable levels to wild-type ioMicroglia Male (io1021).
Phenotypic characterisation of a human iPSC-derived tri-culture using ioGlutamatergic Neurons, ioAstrocytes, and ioMicroglia
Using our fully optimised protocol, ioGlutamatergic Neurons (MAP2, red), ioMicroglia (IBA1, yellow) and ioAstrocytes (vimentin, cyan) were co-cultured to create a highly defined CNS model. High-resolution ICC analysis confirms the successful co-localisation and morphological health of three distinct cell types within a unified environment. By day 7, the protocol yields a highly consistent, integrated network suitable for complex cell modelling. DAPI (blue) highlights the total cell density and integrity of the culture. This protocol is compatible with derivative products of the three cell types, ensuring straightforward implementation across experimental workflows.
A maximum number of 20 vials applies. If you would like to order more than 20 vials, please contact us at orders@bit.bio.
CRISPRi-Ready ioMicroglia are built from our well-established wild type ioMicroglia Male, engineered to constitutively express catalytically inactive Cas9 nuclease (dCas9) fused to a transcriptional repression domain.
These cells arrive ready for guide RNA (gRNA) delivery from day 4 to 18 post-thaw. Our optimised lentivirus gRNA delivery protocol enables users to perform CRISPRi mediated repression screens in pooled or arrayed formats, and measure readouts within a few days.
Our cells arrive ready to use for functional genomics, disease model generation, drug target identification and fundamental human biology research. The cells have been deterministically programmed from human iPSCs using opti-ox technology, meaning scalability and consistency are built-in. Within days, they convert consistently to microglia characterised by >90% expression of IBA1.
Using CRISPRi-Ready, CRISPRa-Ready and CRISPRko-Ready ioMicroglia, users can significantly cut experimental timelines by no longer needing to spend months engineering and characterising Cas9 stable iPSC lines or optimising differentiation protocols. With these cells, robust experimental readouts can be achieved by simply delivering gRNAs against your target gene. Users do not require prior expertise in iPSC differentiation or gRNA delivery optimisation.
Ready to use
Defined, characterised and functional human microglia constitutively expressing modified dCas9, ready for gene repression experiments from day 4 to day 18 post-thaw.
Quick and easy
Generate readouts within days with a simple protocol for cell maturation and guide RNA delivery.
Effective inhibition
Optimised protocols for lentivirus based guide RNA delivery in iPSC-derived cells, ensuring inhibition of target genes.

CRISPRi-Ready ioMicroglia are delivered in a cryopreserved format and are programmed to rapidly mature upon revival in the recommended media. The protocol for the generation of these cells is a three-phase process: an Induction phase that is carried out at bit.bio, Phase 1: Stabilisation for 24 hours, Phase 2: Maturation for a further 9 days, Phase 3: the Maintenance phase. Guide RNAs may be delivered between day 4 and 18 post-thaw and readouts may be performed 5 days after delivery.
The detectability of inhibition at the protein level is influenced by both the chosen target and the half-life of the protein in question, and so the timepoint of the readout needs to be adjusted for the protein of interest. Note that we found optimal results with guide RNA delivery at day 10 post-thaw, with a readout 5 days later.

Starting material
Human iPSC line
Seeding compatibility
6, 12, 24, 48 & 96 well plates
Shipping info
Dry ice
Donor
Caucasian adult male (skin fibroblast), age 55-60 years old
Genotype APOE 3/3
Vial size
Small: >1.5 x 10⁶ viable cells
Quality control
Sterility, protein expression (ICC), functional phagocytosis, purity (FACS), Cas9 functional validation (flow cytometry)
Differentiation method
opti-ox deterministic programming
Recommended seeding density
39,500 cells/cm²
User storage
LN2 or -150°C
Format
Cryopreserved cells
Product use
ioCells are for research use only
Applications
Single gene inhibitions
Pooled CRISPRi screens
Arrayed CRISPRi screens
Flow cytometry analysis demonstrates gene repression of B2M upon lentiviral gRNA delivery
Flow cytometry analysis confirmed robust B2M gene repression in CRISPRi-Ready ioMicroglia following lentiviral delivery of a B2M-targeting gRNA on day 10 post-thaw using VPx-VLP for enhanced lentiviral gRNA delivery. Gene repression was assessed 5 days later.
(A) 32% of cells were GFP+ indicating successful delivery of the B2M-targeting gRNA, with 72% of these GFP+ cells showing robust repression.
(B) The dCas9 transcriptional repressor induced a 5.7-fold increase in B2M protein expression (blue) relative to non-targeting control (grey), as measured by geometric mean fluorescence intensity (GMFI) in the GFP+ population.
IBA1 targeting gRNAs were introduced into CRISPRi-Ready ioMicroglia at day 10 post-thaw via lentiviral transduction in a 96-well plate format, using VPx-VLP for enhanced lentiviral gRNA delivery. After 5 days, transduction and IBA1 repression efficiencies were quantified by immunocytochemistry. Comparable results were observed in 24-well plates.
(A) Representative images showing repression of IBA1 in a majority of cells.
(B) Quantification of IBA1 positive cells reveals >75% inhibition efficiency.
CRISPRi-Ready ioMicroglia show ramified morphology by day 4
CRISPRi-Ready ioMicroglia mature rapidly and key ramified morphology can be identified by day 4 and continues through to day 10, similar to ioMicroglia Male (io1021). Day 1 to 10 post-thawing; 100x magnification.
Immunofluorescent staining on day 10 post-revival demonstrates homogenous expression of key microglia marker IBA1 and ramified morphology in CRISPRi-Ready ioMicroglia, similar to ioMicroglia Male (io1021). 100x magnification.
Phagocytosis of E. coli particles by CRISPRi-Ready ioMicroglia
Phagocytosis assay using pHrodo E. coli BioParticles at day 10 post-thaw demonstrates efficient uptake of bioparticles by CRISPRi-Ready ioMicroglia, in a similar manner to ioMicroglia Male (io1021) over 24 h. The graphs display the proportion of cells phagocytosing (left), and the fluorescence intensity per cell displaying degree of phagocytosis (right). The addition of Cytochalasin D (CytoD), an inhibitor of actin polymerisation, significantly decreased E.coli particle uptake as expected.
CRISPRi-Ready ioMicroglia secrete pro-inflammatory cytokines upon activation
CRISPRi-Ready ioMicroglia were stimulated at day 10 post-thaw with LPS 100 ng/mL and IFNɣ 20 ng/mL for 24 hours. Cell culture supernatants were collected and cytokine secretion levels were quantified by ELISA. Upon activation, these cells secreted TNF-α and IL-6 at comparable levels to wild-type ioMicroglia Male (io1021).
View the cytokine release protocol used to generate this data.
Flow cytometry analysis demonstrates gene repression of B2M upon lentiviral gRNA delivery
Flow cytometry analysis confirmed robust B2M gene repression in CRISPRi-Ready ioMicroglia following lentiviral delivery of a B2M-targeting gRNA on day 10 post-thaw using VPx-VLP for enhanced lentiviral gRNA delivery. Gene repression was assessed 5 days later.
(A) 32% of cells were GFP+ indicating successful delivery of the B2M-targeting gRNA, with 72% of these GFP+ cells showing robust repression.
(B) The dCas9 transcriptional repressor induced a 5.7-fold increase in B2M protein expression (blue) relative to non-targeting control (grey), as measured by geometric mean fluorescence intensity (GMFI) in the GFP+ population.
Immunocytochemistry analysis demonstrates gene repression of IBA1 upon lentiviral gRNA delivery in a 96-well plate
IBA1 targeting gRNAs were introduced into CRISPRi-Ready ioMicroglia at day 10 post-thaw via lentiviral transduction in a 96-well plate format, using VPx-VLP for enhanced lentiviral gRNA delivery. After 5 days, transduction and IBA1 repression efficiencies were quantified by immunocytochemistry. Comparable results were observed in 24-well plates.
(A) Representative images showing repression of IBA1 in a majority of cells.
(B) Quantification of IBA1 positive cells reveals >75% inhibition efficiency.
Phagocytosis assay using pHrodo E. coli BioParticles at day 10 post-thaw demonstrates efficient uptake of bioparticles by CRISPRi-Ready ioMicroglia, in a similar manner to ioMicroglia Male (io1021) over 24 h. The graphs display the proportion of cells phagocytosing (left), and the fluorescence intensity per cell displaying degree of phagocytosis (right). The addition of Cytochalasin D (CytoD), an inhibitor of actin polymerisation, significantly decreased E.coli particle uptake as expected.
CRISPRi-Ready ioMicroglia were stimulated at day 10 post-thaw with LPS 100 ng/mL and IFNɣ 20 ng/mL for 24 hours. Cell culture supernatants were collected and cytokine secretion levels were quantified by ELISA. Upon activation, these cells secreted TNF-α and IL-6 at comparable levels to wild-type ioMicroglia Male (io1021).
View the cytokine release protocol used to generate this data.
The dedicated User Manual for the CRISPRi-Ready ioMicroglia must be used for culture and gRNA delivery, and not the user manual for the wild-type ioMicroglia (io1021).
CRISPRi-Ready ioMicroglia arrive ready for guide RNA delivery using lentivirus transduction following the CRISPRi-Ready ioMicroglia Male User Manual.
CRISPRi-Ready ioGlutamatergic Neurons constitutively express dCas9 nuclease and are ready for gRNA delivery from day 4 to day 18 post-thaw.
CRISPRi-Ready ioMicroglia Male are suitable for both pooled and arrayed CRISPR screens.
Schmidt, et al
bit.bio
2024
Schmidt et al.
bit.bio
2024
Schmidt et al.
bit.bio
2026
Pavlou, et al
Nature Scientific Reports
2023
bit.bio
Emmanouil Metzakopian | Vice President, Research and Development | bit.bio
Javier Conde-Vancells | Director Product Management | bit.bio
“To do a genome-level CRISPR screen, with all the necessary replicates, requires billions of cells. Reaching that scale with iPSCs has been a significant challenge, so, many people turn to immortalised cell lines. But these cells are quite different from neurons in the human body. The development of ioCRISPR-Ready Cells is a huge step forward because it allows us to perform large-scale CRISPR screens on cells that closely resemble their in vivo counterparts—it’s a more physiologically relevant way of doing things.”
Emmanouil Metzakopian
Former Group leader, UK Dementia Research Institute, Cambridge University.
VP R&D, bit.bio.
Running CRISPR screens can be resource-intensive and require a lot of expertise and preparation. Contact us today to arrange a consultation with our screening experts.
CRISPR-Ready ioCells allow you to identify targets and screen novel compounds using physiologically relevant human cells.
Access more than 20 neuronal disease models and 4 microglia disease models with a single co-culture protocol
View the co-culture protocol
Explore
ioGlutamatergic Neuron Disease Models
ioMicroglia Disease Models
Women are greatly underrepresented in drug development and clinical trials.
Introducing female derived cells into the early stage of research and drug discovery can help to better address this disparity.
Key applications for Female ioMicroglia in neurodegeneration drug discovery
- Neuroinflammatory in vitro modelling
- Target ID and validation
- Compound screening
Discover the data
Study the role of microglia in AD with hiSPC-derived ioMicroglia Male engineered to contain Alzheimer’s disease-related risk mutations.
Homozygous and heterozygous models are available for the following mutations:
APOE C112
TREM2 R47H
Each ioDisease Model Cell can be paired with the genetically matched ioMicroglia Male wild type control, to help you confidently link genotype to phenotype and make true comparisons in your data.
Consistent. Defined. Scalable.