cat no | io1079
Cryopreserved human iPSC-derived cells powered by opti-ox that are ready for experiments in days
In vitro cell model engineered to carry a mutation in PINK1 for Parkinson's disease research
Consistent, functional excitatory neurons that form neuronal networks within days
Human iPSC-derived Parkinson's disease model
ioGlutamatergic Neurons PINK1 Q456X/WT express neuron-specific markers comparably to the wild type control
Immunofluorescent staining on day 11 post revival demonstrates similar homogenous expression of pan-neuronal proteins MAP2 and TUBB3 (upper panel) and glutamatergic neuron-specific transporter VGLUT2 (lower panel) in ioGlutamatergic Neurons PINK1 Q456X/WT clones compared to the genetically matched control. 100X magnification.
ioGlutamatergic Neurons PINK1 Q456X/WT form structural neuronal networks by day 11
ioGlutamatergic Neurons PINK1 Q456X/WT mature rapidly, show glutamatergic neuron morphology and form structural neuronal networks over 11 days, highly similar to the genetically matched control. Day 1 to 11 post thaw; 100X magnification.
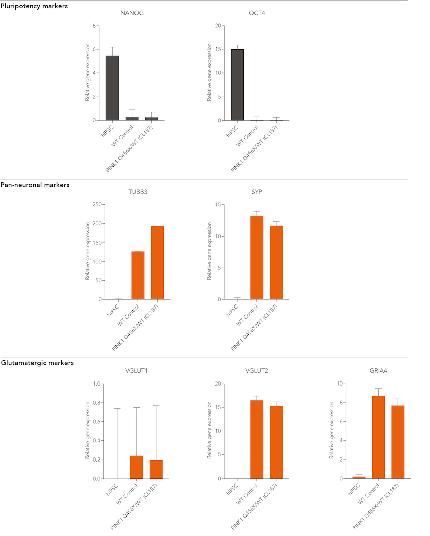
ioGlutamatergic Neurons PINK1 Q456X/WT demonstrate gene expression of neuronal-specific and glutamatergic-specific markers following deterministic programming
Gene expression analysis demonstrates that ioGlutamatergic Neurons PINK1 Q456X/WT and wild-type ioGlutamatergic Neurons (WT Control) lack the expression of pluripotency markers (NANOG and OCT4) at day 11, while expressing pan-neuronal (TUBB3 and SYP) and glutamatergic-specific (VGLUT1 and VGLUT2) markers, as well as the glutamate receptor GRIA4. Gene expression levels were assessed by RT-qPCR (data normalised to HMBS; cDNA samples of the parental human iPSC line (hiPSC) were included as reference). Data represents day 11 post-revival samples, n=2 replicates.
Disease-related PINK1 is expressed in ioGlutamatergic Neurons PINK1 Q456X/WT following deterministic programming
RT-qPCR analysis demonstrates expression of the PINK1 gene in both wild-type ioGlutamatergic Neurons (WT Control) and ioGlutamatergic Neurons PINK1 Q456X/WT at day 11 post-revival. Data normalised to HMBS; cDNA samples of the parental human iPSC line (hiPSC) were included as reference, n=2 replicates.
Industry leading seeding density
The recommended minimum seeding density is 30,000 cells/cm2, compared to up to 250,000 cells/cm2 for other similar products on the market. One small vial can plate a minimum of 0.7 x 24-well plate, 1 x 96-well plate, or 1.5 x 384-well plates. This means every vial goes further, enabling more experimental conditions and more repeats, resulting in more confidence in the data.
A maximum number of 20 vials applies. If you would like to order more than 20 vials, please contact us at orders@bit.bio.
ioGlutamatergic Neurons PINK1 Q456X/WT are opti‑ox deterministically programmed excitatory neurons carrying a genetically engineered heterozygous Q456X mutation in the PINK1 gene encoding the protein PTEN induced putative kinase 1. These cells offer a rapidly maturing, disease relevant system for investigating the role of PINK1 Q456X mutation in early-onset Parkinson's disease (PD).
This disease model is part of a Parkinson's disease panel of physiologically relevant human iPSC-derived cells that can be incorporated into translational research and drug discovery workflows. Two additional clones for the PINK1 Q456X het mutation are available for scientists who wish to repeat their experiments in multiple independent clones, please enquire. Additional mutations in the PD panel include homozygous PINK1 Q456X mutation, PRKN R275W, SNCA A53T and GBA mutations. All can be used alongside their genetically matched control, ioGlutamatergic Neurons.
Make True Comparisons
Pair the Parkinson's disease model cells with the genetically matched wild-type ioGlutamatergic Neurons to investigate the impact of the PINK1 nonsense mutation on early-onset PD.
Scalable
With opti-ox technology, we can make billions of consistently programmed cells, surpassing the demands of industrial workflows.
Quick
The disease model cells and wild-type control are experiment ready as early as 2 days post revival, and form structural neuronal networks at 11 days.

ioGlutamatergic Neurons PINK1 Q456X/WT are delivered in a cryopreserved format and are programmed to mature rapidly upon revival in the recommended media. The protocol for the generation of these cells is a two-phase process: Phase 1, Stabilisation for 4 days; Phase 2, Maintenance, during which the neurons mature. Phases 1 and 2 after revival of cells are carried out by the customer.
Starting material
Human iPSC line
Karyotype
Normal (46, XY)
Seeding compatibility
6, 12, 24, 96 & 384 well plates
Shipping info
Dry ice
Donor
Caucasian adult male, age 55-60 years old (skin fibroblast),
Genotype APOE 3/4
Vial size
Small: >1 x 10⁶ viable cells
Quality control
Sterility, protein expression (ICC), gene expression (RT-qPCR) and genotype validation (Sanger sequencing)
Differentiation method
opti-ox deterministic cell programming
Recommended seeding density
30,000 cells/cm²
User storage
LN2 or -150°C
Format
Cryopreserved cells
Genetic modification
Heterozygous Q456X nonsense mutation in the PINK1 gene
Applications
Parkinson's disease research
Drug discovery and development
Disease modelling
Available clones
io1078 | PINK1 Q456X/WT (CL1)
io1079 | PINK1 Q456X/WT (CL187)
io1080 | PINK1 Q456X/WT (CL44)
Product use
ioCells are for research use only
Enabling scientists to use human cells in their research, running additional experiments without rationing cells or limiting experimental scale
| Order quantity | Total vials received | Pricing tier |
| 1 - 9 packs | 3 - 27 vials | Standard price |
| 10 - 33 packs | 30 - 99 vials | Automatic 10% discount |
| > 34 packs | > 100 vials | > Contact us for a quote |
ioGlutamatergic Neurons PINK1 Q456X/WT express neuron-specific markers comparably to the wild type control
Immunofluorescent staining on day 11 post revival demonstrates similar homogenous expression of pan-neuronal proteins MAP2 and TUBB3 (upper panel) and glutamatergic neuron-specific transporter VGLUT2 (lower panel) in ioGlutamatergic Neurons PINK1 Q456X/WT clones compared to the genetically matched control. 100X magnification.
ioGlutamatergic Neurons PINK1 Q456X/WT form structural neuronal networks by day 11
ioGlutamatergic Neurons PINK1 Q456X/WT mature rapidly, show glutamatergic neuron morphology and form structural neuronal networks over 11 days, highly similar to the genetically matched control. Day 1 to 11 post thaw; 100X magnification.
ioGlutamatergic Neurons PINK1 Q456X/WT demonstrate gene expression of neuronal-specific and glutamatergic-specific markers following deterministic programming
Gene expression analysis demonstrates that ioGlutamatergic Neurons PINK1 Q456X/WT and wild-type ioGlutamatergic Neurons (WT Control) lack the expression of pluripotency markers (NANOG and OCT4) at day 11, while expressing pan-neuronal (TUBB3 and SYP) and glutamatergic-specific (VGLUT1 and VGLUT2) markers, as well as the glutamate receptor GRIA4. Gene expression levels were assessed by RT-qPCR (data normalised to HMBS; cDNA samples of the parental human iPSC line (hiPSC) were included as reference). Data represents day 11 post-revival samples, n=2 replicates.
Disease-related PINK1 is expressed in ioGlutamatergic Neurons PINK1 Q456X/WT following deterministic programming
RT-qPCR analysis demonstrates expression of the PINK1 gene in both wild-type ioGlutamatergic Neurons (WT Control) and ioGlutamatergic Neurons PINK1 Q456X/WT at day 11 post-revival. Data normalised to HMBS; cDNA samples of the parental human iPSC line (hiPSC) were included as reference, n=2 replicates.
In this video, our scientist will take you through the step-by-step process of how to thaw, seed and culture ioGlutamatergic Neurons.
DOC-1289 4.0
bit.bio
2025
Dr Deepak Srivastava | King’s College London
Mark Kotter | CEO and founder | bit.bio
Marius Wernig | Professor Departments of Pathology and Chemical and Systems Biology | Stanford University
Dr Ania Wilczynska | Head of Computational Genomics | Non-Clinical | bit.bio
Emmanouil Metzakopian | Vice President, Research and Development | bit.bio
Javier Conde-Vancells | Director Product Management | bit.bio
Read this blog on glutamatergic neuron cell culture for our top tips on careful handling, cell plating and media changes to achieve success from the outset.
Further your disease research by pairing our wild type cells with isogenic disease models.
Consistent. Defined. Scalable.