cat no | io1041
Human iPSC-derived ALS disease model
ioMotor Neurons SOD1 G93A/G93A form a homogenous neuronal network by day 4
ioMotor Neurons SOD1 G93A/G93A rapidly acquire a motor neuronal phenotype, forming homogenous neuronal networks, without clumping of cells. Compared to the genetically matched wild type control, ioMotor Neurons. Day 1 to 11 post thawing; 100X magnification.
ioMotor Neurons SOD1 G93A/G93A express motor neuron-specific markers with protein expression highly reminiscent to the genetically matched control
Immunofluorescent staining on post-revival day 11 demonstrates similar homogenous expression of pan-neuronal protein TUBB3, motor neuron specific marker ISL2 and the cholinergic marker VAChT in ioMotor Neurons SOD1 G93A/G93A compared to the genetically matched control, ioMotor Neurons.
View the step-by-step immunofluorescent staining protocol used to generate this data
ioMotor Neurons SOD1 G93A/G93A express motor neuron-specific markers with protein expression highly reminiscent to the genetically matched control
Immunofluorescent staining on post-revival day 11 demonstrates similar homogenous expression of pan-neuronal protein MAP2, motor neuron specific marker HB9 and the cholinergic marker VAChT in ioMotor Neurons SOD1 G93A/G93A compared to the genetically matched control, ioMotor Neurons.
View the step-by-step immunofluorescent staining protocol used to generate this data
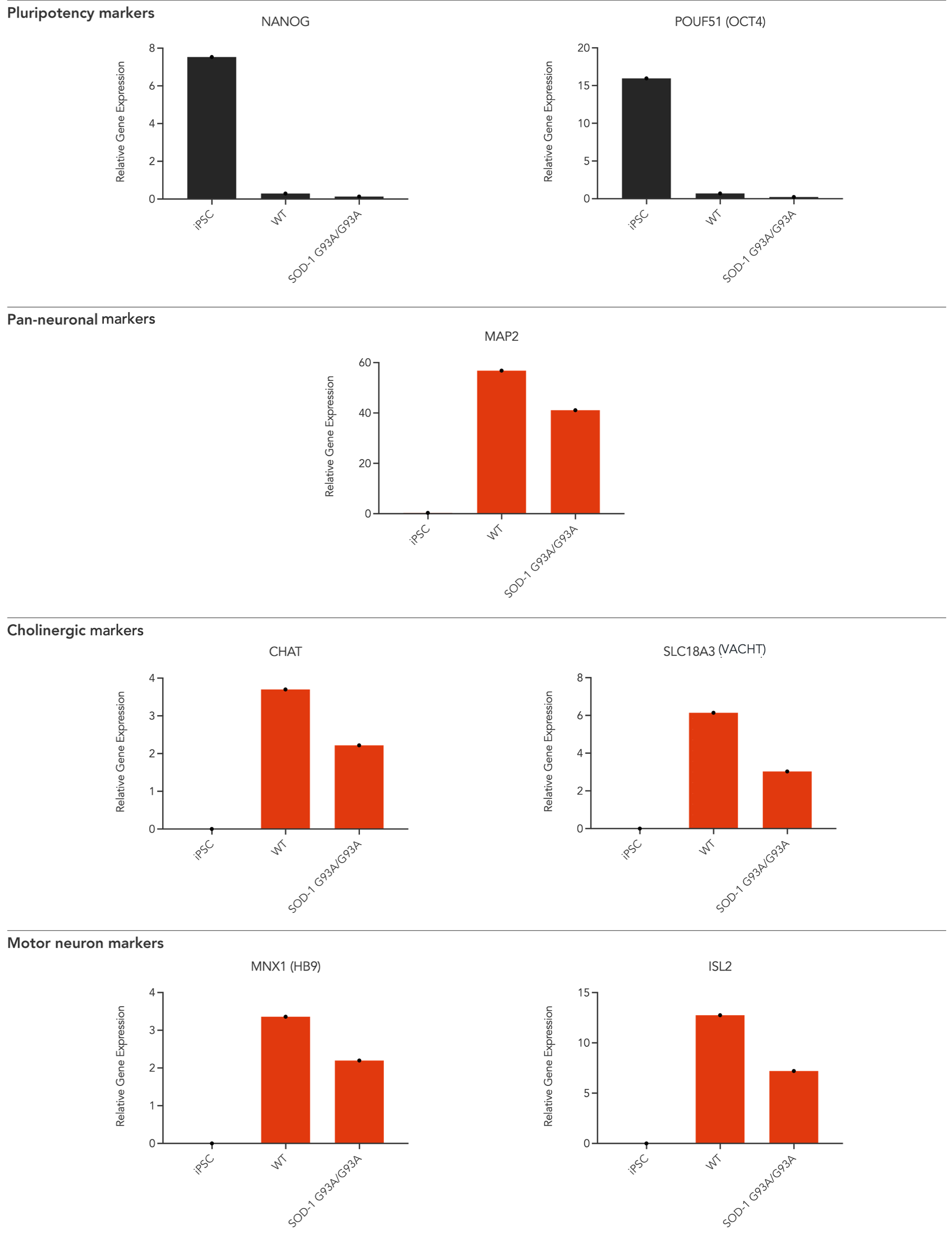
ioMotor Neurons SOD1 G93A/G93A demonstrate gene expression of neuronal-specific and motor neuron-specific markers following deterministic programming
Gene expression analysis demonstrates that ioMotor Neurons SOD1 G93A/G93A and the genetically matched control (WT) lack the expression of pluripotency makers (NANOG and OCT4), at day 11, whilst robustly expressing pan-neuronal (MAP2), cholinergic (CHAT and VACHT) and motor neuron-specific (MNX1 and ISL2) markers. Gene expression levels were assessed by RT-qPCR (data expressed relative to the parental hiPSC control (iPSC Control), normalised to HMBS). Data represents day 11 post-revival samples.
View the step-by-step RNA extraction and RT-qPCR protocol used to generate this data
Disease-related SOD1 is expressed in ioMotor Neurons SOD1 G93A/G93A following deterministic programming
Gene expression analysis demonstrates that ioMotor Neurons SOD1 G93A/G93A and the genetically matched control (WT) express the SOD1 gene encoding the Superoxide dismutase 1 protein. Gene expression levels were assessed by RT-qPCR (data expressed relative to the parental hiPSC control (iPSC Control), normalised to HMBS). Data represents day 11 post-revival samples.
Co-culture of ioMotor Neurons and ioSkeletal Myocytes
High resolution confocal imaging of ioSkeletal Myocytes (io1002) and ioMotor Neurons wild-type co-culture. Staining with alpha-bungarotoxin (yellow) highlights acetylcholine receptor expression on co-cultured ioSkeletal Myocytes. Desmin (cyan) and microtubule-associated protein 2 (red) define ioSkeletal Myocytes and ioMotor Neurons respectively. Co-culture imaged at day 30, 40X magnification.
Download the step-by-step protocol for culturing ioSkeletal Myocytes and ioMotor Neurons.
Do more with every vial
The seeding density of our human iPSC-derived ioMotor Neurons and related disease models has been optimised and validated to a recommended seeding density of 30,000 cells/cm². This means scientists can do more with every vial and expand experimental design within budget without losing out on quality. Resulting in more experimental conditions, more repeats, and more confidence in the data. One Small vial can plate a minimum of 0.7 x 24-well plate, 1 x 96-well plate, or 1.5 x 384-well plate.
A maximum number of 20 vials applies. If you would like to order more than 20 vials, please contact us at orders@bit.bio.
ioMotor Neurons SOD1 G93A/G93A are opti‑ox deterministically programmed ioMotor Neurons carrying a genetically engineered homozygous mutation in the SOD1 gene encoding the Superoxide dismutase 1 protein.
Within days, cells convert to a defined and scalable genetically matched system for investigating the molecular and cellular significance of a homozygous G93A mutation in ALS.
Related disease model cells are available with a heterozygous SOD1 G93A/WT mutation, and both can be used alongside their genetically matched control, ioMotor Neurons.
Additional disease models are available in ioGlutamatergic Neurons with mutations in TDP‑43 and MAPT, creating a comprehensive toolkit to study the genetic and pathological overlap between ALS and FTD.
Make True Comparisons
Pair the ioDisease Model Cells with genetically matched wild-type ioMotor Neurons to investigate the impact of mutant SOD1 protein on disease progression.
Quick and easy
Within 4 days post revival cells are ready for experimentation, displaying motor neuronal morphology without clumping.
Defined
>80% cells express key lower motor neuron markers indicating a spinal motor neuron identity (cervical region). >99.9% neuronal population.

ioMotor Neurons SOD1 G93A/G93A are delivered in a cryopreserved format and are programmed to rapidly mature upon revival in the recommended media.
Starting material
Human iPSC line
Seeding compatibility
6, 12, 24, 96 and 384 well plates
Shipping info
Dry ice
Donor
Caucasian adult male (skin fibroblast),
Genotype APOE 3/4
Vial size
Small: >1 x 10⁶ viable cells
Quality control
Sterility, protein expression (ICC) and gene expression (RT-qPCR)
Differentiation method
opti-ox deterministic cell programming
Recommended seeding density
30,000 cells/cm²
User storage
LN2 or -150°C
Format
Cryopreserved cells
Product use
ioCells are for research use only
Applications
Neurodegeneration research
ALS disease modelling
Electrophysiological analysis
Drug development & discovery
Neuromuscular research
Neurotoxicology
Enabling scientists to use human cells in their research, running additional experiments without rationing cells or limiting experimental scale
| Order quantity | Total vials received | Pricing tier |
| 1 - 9 packs | 3 - 27 vials | Standard price |
| 10 - 33 packs | 30 - 99 vials | Automatic 10% discount |
| > 34 packs | > 100 vials | > Contact us for a quote |
ioMotor Neurons SOD1 G93A/G93A form a homogenous neuronal network by day 4
ioMotor Neurons SOD1 G93A/G93A rapidly acquire a motor neuronal phenotype, forming homogenous neuronal networks, without clumping of cells. Compared to the genetically matched wild type control, ioMotor Neurons. Day 1 to 11 post thawing; 100X magnification.
ioMotor Neurons SOD1 G93A/G93A express motor neuron-specific markers with protein expression highly reminiscent to the genetically matched control
Click on the tabs to explore the data.
Immunofluorescent staining on post-revival day 11 demonstrates similar homogenous expression of pan-neuronal proteins TUBB3 and MAP2, motor neuron specific markers ISL2 and HB9 and the cholinergic markers VAcHT and VAChT in ioMotor Neurons SOD1 G93A/G93A compared to the genetically matched control, ioMotor Neurons.
View the step-by-step immunofluorescent staining protocol used to generate this data
ioMotor Neurons SOD1 G93A/G93A demonstrate gene expression of neuronal-specific and motor neuron-specific markers following deterministic programming
Gene expression analysis demonstrates that ioMotor Neurons SOD1 G93A/G93A and the genetically matched control (WT) lack the expression of pluripotency makers (NANOG and OCT4), at day 11, whilst robustly expressing pan-neuronal (MAP2), cholinergic (CHAT and VACHT) and motor neuron-specific (MNX1 and ISL2) markers. Gene expression levels were assessed by RT-qPCR (data expressed relative to the parental hiPSC control (iPSC Control), normalised to HMBS). Data represents day 11 post-revival samples.
View the step-by-step RNA extraction and RT-qPCR protocol used to generate this data
Disease-related SOD1 is expressed in ioMotor Neurons SOD1 G93A/G93A following deterministic programming
Gene expression analysis demonstrates that ioMotor Neurons SOD1 G93A/G93A and the genetically matched control (WT) express the SOD1 gene encoding the Superoxide dismutase 1 protein. Gene expression levels were assessed by RT-qPCR (data expressed relative to the parental hiPSC control (iPSC Control), normalised to HMBS). Data represents day 11 post-revival samples.
Do more with every vial
The seeding density of our human iPSC-derived ioMotor Neurons and related disease models has been optimised and validated to a recommended seeding density of 30,000 cells/cm². This means scientists can do more with every vial and expand experimental design within budget without losing out on quality. Resulting in more experimental conditions, more repeats, and more confidence in the data. One Small vial can plate a minimum of 0.7 x 24-well plate, 1 x 96-well plate, or 1.5 x 384-well plate.
ioMotor Neurons SOD1 G93A/G93A form a homogenous neuronal network by day 4
ioMotor Neurons SOD1 G93A/G93A rapidly acquire a motor neuronal phenotype, forming homogenous neuronal networks, without clumping of cells. Compared to the genetically matched wild type control, ioMotor Neurons. Day 1 to 11 post thawing; 100X magnification.
ioMotor Neurons SOD1 G93A/G93A express motor neuron-specific markers with protein expression highly reminiscent to the genetically matched control
Click on the tabs to explore the data.
Immunofluorescent staining on post-revival day 11 demonstrates similar homogenous expression of pan-neuronal proteins TUBB3 and MAP2, motor neuron specific markers ISL2 and HB9 and the cholinergic markers VAcHT and VAChT in ioMotor Neurons SOD1 G93A/G93A compared to the genetically matched control, ioMotor Neurons.
View the step-by-step immunofluorescent staining protocol used to generate this data
Co-culture of ioMotor Neurons and ioSkeletal Myocytes
High resolution confocal imaging of ioSkeletal Myocytes (io1002) and ioMotor Neurons wild-type co-culture. Staining with alpha-bungarotoxin (yellow) highlights acetylcholine receptor expression on co-cultured ioSkeletal Myocytes. Desmin (cyan) and microtubule-associated protein 2 (red) define ioSkeletal Myocytes and ioMotor Neurons respectively. Co-culture imaged at day 30, 40X magnification.
In this video, our scientist will take you through the step-by-step process of how to thaw, seed and culture ioMotor Neurons.
Vaquero, et al
bit.bio
2023
Foulser, et al
bit.bio
2024
Brown et al.
bit.bio
2024
Smith et al.
bit.bio
2024
Veteleanu et al.
bit.bio
2025
Foulser et al.
bit.bio
2025
Hill et al.
bit.bio
2026
Davenport A, Frolov T & Kotter M
Drug Discovery World
2020
Filippa VG, et al.
bioRxiv
2026
Using ioGlutamatergic Neurons and ioMotor Neurons
Dr Elizabeth Di Lullo | Associate Scientific Director | BrainEver
Human Cell Forum 2025
Session 1 Track 1 | Modelling neurodegeneration in vitro with human iPSC-derived cells
Dr Grace Cooper | Senior Scientist | bit.bio
Human Cell Forum 2025
Session 1 Track 2 | From cells to systems: Building human iPSC-derived models of pain, neuromuscular junctions, and glial dynamics
Dr Ben Bar-Sadeh | Senior Scientist | Anima Biotech
Human Cell Forum 2025
Session 3 | Making complex human biology compatible with modern drug discovery workflows
bit.bio
bit.bio
Luke Foulser | Scientist | bit.bio
Prof Roger Pedersen | Adjunct Professor and Senior Research Scientist at Stanford University
Dr Thomas Moreau | Director of Cell Biology Research | bit.bio
Tom Brown | Senior Product Manager | bit.bio
Marcos Herrera Vaquero, PhD | Senior Scientist | bit.bioBen Bar-Sadeh, PhD | Senior Scientist | Anima Biotech
Tom Brown | Senior Product Manager | bit.bio
This poster presented at AD/PD 2023 shows FTD and ALS disease-related phenotypic data for ioGlutamatergic Neurons disease model cells carrying a mutation in MAPT or TDP-43 (TARDBP).
Access 14 ALS and FTD disease models with disease-related mutations such as SOD1, FUS, MAPT and TDP-43 (TARDBP) genetically engineered in ioGlutamatergic Neurons and ioMotor Neurons.
Interested in gene knockouts and CRISPR screens?
CRISPRko-Ready ioMotor Neurons cells are engineered to constitutively express Cas9 nuclease for the quick and easy generation of gene knockouts and CRISPR screens.
Explore CRISPRko-Ready ioMotor Neurons.
Study neuronal networks and the impact of ALS-disease-related mutations by co-culturing ioMotor Neurons with astrocytes. Access 14 disease models and the single co-culture protocol for MEA.
View the co-culture protocol
Explore
ALS & FTD Disease Models
ioMotor Neurons
ioAstrocytes
Build your custom disease model or reporter line to pair with wild-type ioMotor Neurons as the genetically matched control.
Throughout the custom process, our experts will bring your project to life, and be on hand to support you with any technical queries.
Start the conversation today
Consistent. Defined. Scalable.